Universo Mecánico 25 Desde Kepler A Einstein HD720p H 264 AAC
♦♦♦♦♦♦♦
Indice
¿Qué es la vida? (Parte IV)
CAPÍTULO 3
MUTACIONES
3.1. Mutaciones discontinuas: material de trabajo de la selección natural
Los hechos generales que acabamos de exponer sobre la duración atribuida a la estructura del gen son quizá demasiado familiares como para sorprendernos o incluso para considerarlos convincentes. Esta vez, al menos, el refrán, según el cual la excepción confirma la regla, se convierte en realidad. Si el parecido entre padres e hijos no presentara excepciones, no solo no dispondríamos de todos esos brillantes experimentos que nos han revelado el detallado mecanismo de la herencia, sino que no se daría ese experimento a gran escala de la Naturaleza, realizado algunos millones de veces ya, que forja las especies por selección natural y supervivencia del más apto.
Tomemos este importante punto como principio para presentar los hechos principales, de nuevo pidiendo excusas y recordando que no soy biólogo.
Hoy sabemos con certeza que Darwin estaba en un error al considerar las variaciones pequeñas y continuas que se presentan incluso en la población más homogénea como los fenómenos sobre los que actúa la selección natural. Se ha demostrado que esas variaciones no se heredan. El hecho es suficientemente importante como para ilustrarlo con brevedad. Si tomamos la recolección de una raza pura de cebada, medimos una por una la longitud de las espigas y construimos una gráfica con los resultados, obtendremos una curva acampanada como la de la figura 1, donde en ordenadas se indica el número de espigas de una determinada longitud y en abscisas las diversas longitudes de espiga posible. En otras palabras: domina una longitud media definida, existiendo desviaciones con determinadas frecuencias en cada dirección. Elijamos un grupo de espigas (indicado en negro en la figura) con longitudes considerablemente mayores que la media, pero cuyo número es suficiente para que puedan ser sembradas y den una nueva cosecha. Al hacer la estadística correspondiente, Darwin habría esperado encontrar que la curva se hubiese desplazado hacia la derecha. En otras palabras, se habría esperado producir por selección un aumento de la longitud media de las espigas. Esto no ocurre si se ha empleado una raza de cebada verdaderamente pura. La nueva curva estadística obtenida de la cosecha seleccionada es idéntica a la primera, y habría ocurrido lo mismo en caso de seleccionar para la siembra las espigas especialmente cortas. La selección resulta ineficaz porque las diferencias pequeñas y continuas no se heredan. Es obvio que no radican en la estructura del material hereditario, sino que, evidentemente, son accidentales. No obstante, el holandés Hugo de Vries descubrió hace unos cuarenta años que incluso en la descendencia de cepas realmente puras un número muy pequeño de individuos, algo así como dos o tres entre varias decenas de miles, aparece con cambios pequeños, pero que suponen una especie de «salto».

La expresión «salto» no quiere significar que el cambio sea especialmente importante, sino que supone una discontinuidad, en el sentido de que no hay formas intermedias entre la forma inalterada y los pocos individuos que han cambiado. Tras su observación, De Vries les dio el nombre de mutaciones. El hecho significativo es la discontinuidad. Al físico le recuerda la teoría cuántica, según la cual no hay energías intermedias entre dos niveles energéticos contiguos. Podríamos llamar la teoría de la mutación, de forma figurada, la teoría cuántica de la Biología. Más adelante veremos que tal denominación es mucho más que figurativa. Las mutaciones se deben, de hecho, a saltos cuánticos en las moléculas del gen. Pero la teoría cuántica solo tenía dos años cuando de Vries publicó su teoría de la mutación, en el año 1902. No es, pues, extraño que se necesitase una generación más para descubrir la íntima relación entre ambas.
3.2. Las mutaciones se heredan perfectamente
Las mutaciones se heredan tan perfectamente como los caracteres inalterados originales. A modo de ejemplo, en la primera cosecha de cebada que veíamos antes, unas pocas espigas podían tener una longitud de barbas o aristas considerablemente alejada del nivel de variabilidad dado en la figura 1: digamos que están totalmente desprovistas de aristas. Podríamos representar una mutación de De Vries y en tal caso se reproducirían realmente, lo cual significa que todos los descendientes carecerían de aristas. Una mutación es, claramente, un cambio en el tesoro hereditario y debe atribuirse a algún cambio en la estructura material de la sustancia de la herencia. De hecho, la mayoría de los cruces experimentales de importancia, los cuales nos han revelado el mecanismo de la herencia, consisten en el análisis detallado de la descendencia obtenida al cruzar, de acuerdo con un plan preconcebido, individuos mutados (o, en muchos casos, múltiplemente mutados) con individuos no mutados o mutados de otra forma.

Además, en virtud de su legítima transmisión, las mutaciones son un material apropiado sobre el cual puede operar la selección natural y producir las especies, según describió Darwin, eliminando los menos dotados y dejando sobrevivir a los mas aptos. Basta con sustituir en la teoría de Darwin «pequeñas variaciones accidentales» por «mutaciones» (de la misma forma que la teoría cuántica sustituye «transferencia continua de energía» por «salto cuántico»). Por lo demás, se requieren muy pocos cambios más en la teoría de Darwin, siempre que yo este interpretando correctamente el punto de vista de la mayoría de biólogos[2].
3.3. Localización. Recesividad y dominancia
Debemos revisar ahora otros hechos y nociones fundamentales referentes a las mutaciones, y de nuevo de forma algo dogmática, sin revelar directamente cómo se infieren, uno por uno, a partir de la evidencia experimental.
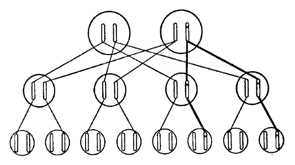
Podríamos esperar que una determinada mutación fuera causada por un cambio en una región determinada de uno de los cromosomas. Y así es. Es importante señalar que sabemos positivamente que se trata de un cambio en solo un cromosoma, pero no en el locus correspondiente del cromosoma homólogo. La figura 2 indica esto esquemáticamente, representando la cruz el locus mutado. El hecho de que solo se vea afectado un cromosoma se revela cuando el individuo mutado (llamado frecuentemente «mutante») se cruza con un individuo no mutado: exactamente la mitad de la descendencia presenta el carácter mutante y la otra mitad el carácter normal. Esto es lo esperable como consecuencia de la separación de los cromosomas en la meiosis del mutante, tal como se ve en la figura 3 de forma muy esquemática. En ella se ve un árbol genealógico que representa cada individuo (de tres generaciones consecutivas) simplemente por el par de cromosomas en cuestión. Tómese nota de que, si el mutante tuviera los dos cromosomas alterados, todos los hijos recibirían la misma herencia (mezclada), distinta de la de cualquiera de ambos padres.

Pero la experimentación en este campo no es tan sencilla como cabría esperar a partir de lo dicho hasta aquí. Viene complicada por un segundo hecho importante, a saber, que las mutaciones están a menudo latentes. ¿Qué significa esto? En el mutante las dos «copias del texto cifrado» ya no son idénticas; presentan dos diferentes «lecturas» o «versiones» de un mismo lugar. Puede ser útil señalar de entrada que sería erróneo, aunque tentador, el considerar la versión original como «ortodoxa» y la mutante como «herética». Debemos verlas, en principio, con igual derecho (ya que los caracteres normales también han surgido de mutaciones).
Lo que en realidad ocurre es que el «esquema» del individuo, por regla general, sigue una u otra versión, que puede ser la normal o la mutante. La versión elegida es llamada «dominante», y la otra «recesiva»; dicho de otro modo, la mutación se llama dominante o recesiva según consiga o no cambiar inmediatamente la estructura. Las mutaciones recesivas son incluso mas frecuentes que las dominantes y revisten gran importancia, a pesar de que no se muestren desde un principio. Para alterar la estructura, deben estar presentes en ambos cromosomas (véase la figura 4). Tales individuos se pueden producir cuando dos mutantes igualmente recesivos se cruzan entre ellos o cuando un mutante se cruza consigo mismo; esto último puede darse en plantas hermafroditas donde ocurre incluso espontáneamente. Es fácil comprender que, en estos casos, aproximadamente un cuarto de la descendencia será de este tipo, y por consiguiente mostrará la mutación de forma visible.
3.4. Introducción de un poco de lenguaje técnico
Creo que para mayor claridad vale la pena explicar aquí algunos términos técnicos. Para lo que he llamado «versión del texto cifrado» (sea la original o la mutante), se ha adoptado el término «alelo».

Cuando las versiones son diferentes, tal como se indica en la figura 2, se dice que el individuo es heterozigótico con respecto a aquel locus. Cuando son iguales, como en el caso del individuo no mutado o en el de la figura 4, los individuos se denominan homozigóticos. Así, pues, un alelo recesivo solo afecta la estructura cuando pertenece a un individuo homozigótico, mientras que un alelo dominante produce el mismo efecto tanto en individuos heterozigóticos como en homozigóticos.
La presencia de color es muy a menudo dominante sobre la falta de color (o blanco). Así, por ejemplo, un guisante tendrá flores blancas solo cuando posee «el alelo recesivo causante de blanco» en ambos cromosomas en cuestión, cuando es «homozigótico para el blanco»; al autofecundarse, todos sus descendientes serán blancos. Pero basta con un «alelo rojo» (si el otro es blanco, «heterozigoto») para que la flor sea roja, e igual ocurrirá cuando los dos alelos son rojos («homozigoto»). La diferencia entre estos dos últimos casos solo se manifiesta en la descendencia, cuando el heterozigoto rojo produce algunos descendientes blancos, y el homozigoto rojo siempre los produce rojos. El hecho de que dos individuos puedan ser exactamente iguales en su apariencia externa y diferir en su herencia es tan importante como para justificar una diferenciación exacta. El genetista dice que tienen el mismo fenotipo pero distinto genotipo. El contenido de los párrafos anteriores podría resumirse con esta afirmación, breve pero muy técnica:
Un alelo recesivo solo afecta al fenotipo cuando el genotipo es homozigótico.
Pocas veces usaremos estas expresiones técnicas, pero recordaremos su significado al lector donde sea necesario.
3.5. Efecto perjudicial de los cruces consanguíneos
Las mutaciones recesivas, mientras estén en heterozigotos, no presentan, desde luego, un material de trabajo para la selección natural. Aunque sean perjudiciales, cosa que ocurre muy a menudo con las mutaciones, no resultan eliminadas, ya que se encuentran latentes. En consecuencia, se puede acumular una cantidad considerable de mutaciones desfavorables, sin suponer un perjuicio inmediato. Pero, evidentemente, son transmitidas a la mitad de la descendencia, y esto tiene importantes consecuencias para el hombre, para el ganado, aves domésticas, y cualquier otra especie, allí donde nos interese mantener o aumentar las buenas cualidades físicas. En la figura 3, suponemos que un individuo macho (digamos, en concreto, yo) lleva heterozigóticamente una mutación perjudicial, de forma que no se manifiesta. Supongamos que mi mujer no la lleva. Entonces, la mitad de nuestros hijos (segunda línea) también los llevaran (otra vez heterozigóticamente). Si todos ellos se casan con parejas no mutadas (que hemos omitido en el diagrama para evitar confusiones), un cuarto de nuestros nietos, por término medio, estará afectado de la misma forma.
No hay peligro de que el mal aparezca a menos que se crucen dos individuos afectados, momento en el que podemos ver fácilmente que un cuarto de sus hijos, por ser homozigóticos, manifestará la alteración. Además de la autofertilización (solo posible en organismos hermafroditas), el mayor peligro sería un matrimonio entre uno de mis hijos con una de mis hijas. Teniendo cada uno una probabilidad de un medio de ser portador, un cuarto de estas uniones incestuosas serían peligrosas y de la misma forma un cuarto de sus hijos presentarían la alteración. En consecuencia, el factor de peligro para un hijo de incesto es 1/16.
De la misma forma, el factor de peligro resulta ser 1/64 para la descendencia de una unión entre dos de mis nietos que son primos hermanos. Esta probabilidad no parece ser excesiva y en efecto el segundo caso se tolera por regla general. Pero no olvidemos que hemos analizado las consecuencias de solo una malformación latente en uno de los miembros de la pareja inicial (mi mujer y yo). De hecho, es bastante probable que ambos sean portadores de varias deficiencias latentes de este tipo. Si alguien se sabe portador de una determinada deficiencia de esta clase, puede contar con que uno de cada ocho primos hermanos también lo es. Experimentos realizados con plantas y animales parecen indicar que, además de algunas deficiencias importantes, relativamente raras, existe una multitud de deficiencias menores que, combinando sus probabilidades, deterioran globalmente la descendencia de los cruces consanguíneos. Siendo así que ya no eliminamos los errores en la forma drástica en que lo hacían los lacedemonios en el Monte Taigeto, debemos considerar este tema muy seriamente en el caso del hombre, donde la selección natural del más apto se ha disminuido grandemente, o incluso invertido. El efecto antiselectivo de las modernas matanzas sobre la juventud sana de todo el mundo muy difícilmente puede considerarse compensada por la apreciación de que, en condiciones mas primitivas, la guerra pudo haber tenido un valor positivo al permitir la supervivencia de la tribu mas apta.
3.6. Consideraciones históricas y generales
Es sorprendente el hecho de que el alelo recesivo, en un heterozigoto, sea totalmente superado por el dominante y no produzca efecto visible alguno. Debería mencionarse al menos que existen excepciones de este comportamiento. Cuando una planta de «boca de dragón» (antirrhinum majus) homozigótica blanca se cruza con una roja, también homozigótica, todos los descendientes inmediatos tienen un color intermedio, son rosados (no rojos, como cabría esperar). Un caso mucho más importante de dos alelos que presentan sus efectos simultáneamente lo tenemos en los grupos sanguíneos, pero no podemos entrar en el tema aquí. No me sorprendería si resultara que la recesividad presentara distintos grados y dependiera de la sensibilidad de las pruebas que utilizamos para analizar el fenotipo.
Éste es quizá el momento apropiado para hacer un breve comentario sobre la historia de la Genética. La base de la teoría, la ley de la herencia, la transmisión a generaciones sucesivas de propiedades distintas de los padres, y, mas especialmente, la significativa distinción entre recesivo y dominante, se deben al fraile agustino, hoy en día mundialmente famoso, Gregor Mendel (1822-1884). Mendel no supo nada de mutaciones ni cromosomas. En los jardines de su convento en Brno (Brünn), experimentó con el guisante (pisum sativum), cultivando distintas variedades, cruzándolas y observando su descendencia en la primera, segunda, tercera… generaciones. Podría decirse que experimentó con mutantes que encontró ya preparados en la Naturaleza. Publicó sus resultados en la temprana fecha de 1866 en los Verhandlugen naturforschender Verein in Brünn (Informes de la Sociedad para el estudio de la Naturaleza de Brno). Parece que nadie se interesó por la ocupación de aficionado del fraile y, a buen seguro, nadie tuvo la menor idea de que aquel descubrimiento se convertiría en el siglo XX en la piedra angular de toda una nueva rama de la Ciencia, probablemente la más interesante de nuestros días. Su trabajo quedó olvidado y no fue redescubierto hasta 1900, de forma simultanea e independiente, por Correns (Berlín), De Vries (Ámsterdam) y Tschermak (Viena).
3.7. La mutación debe ser un acontecimiento poco frecuente
Hasta aquí hemos dedicado nuestra atención a las mutaciones perjudiciales, que son, probablemente, las más abundantes; pero debe quedar claro que también se encuentran mutaciones beneficiosas. Si consideramos la mutación espontánea como un pequeño paso en el desarrollo de las especies, podemos imaginar que algún cambio ha sido «probado» de forma bastante aleatoria y con el riesgo de resultar perjudicial, en cuyo caso es eliminado automáticamente. Esto nos coloca frente a un aspecto muy importante del asunto. Para que las mutaciones puedan constituir un material apropiado para el trabajo de la selección natural, deben ser acontecimientos raros, poco frecuentes, como efectivamente ocurre. Si fueran tan frecuentes que hubiera una probabilidad de presentarse, por ejemplo, una docena de mutaciones en un mismo individuo, las mutaciones perjudiciales predominarían, en general, sobre las beneficiosas y la especie, en lugar de mejorar por selección, permanecería inalterada o perecería. La relativa estabilidad que resulta del alto grado de permanencia de los genes es esencial. Podríamos buscar una analogía en el funcionamiento de una fábrica. Para desarrollar métodos mejores, innovaciones que no se conocen, deben hacerse pruebas. Pero, para averiguar si las modificaciones aumentan o disminuyen el rendimiento, es imprescindible que sea introducida una sola cada vez, manteniendo constantes las demás partes del mecanismo.
3.8. Mutaciones inducidas por los rayos X
Veamos ahora, brevemente, una serie de trabajos de investigación genética extremadamente ingeniosos que nos mostrarán la característica más significativa de nuestro análisis.
El porcentaje de mutaciones en la herencia, la frecuencia de mutación, puede incrementarse muchas veces con respecto a lo normal irradiando los padres con rayos X o rayos γ. Las mutaciones producidas de esta forma no se diferencian de las espontáneas (excepto por el hecho de ser más numerosas), y de ahí que uno tenga la impresión de que cada mutación «natural» puede también ser inducida por los rayos X. En cultivos experimentales grandes de drosophila muchas mutaciones definidas vuelven a aparecer repetidamente de manera espontánea; esas mutaciones se han localizado en los cromosomas, tal como se describe en las páginas anteriores, y se les ha dado nombres especiales. Se han encontrado incluso los denominados «alelos múltiples», es decir, dos o más «versiones o lecturas», diferentes además de la normal, no mutada, del mismo lugar de la clave cromosómica. Esto significa que no solo se dan dos, sino tres o más alternativas en aquel locus particular, y que dos cualesquiera de estos están en relación «dominancia-recesividad» cuando aparecen simultáneamente en sus correspondientes loci de los dos cromosomas homólogos.
Los experimentos con mutaciones producidas por rayos X dan la impresión de que cada «transición» particular, por ejemplo del individuo normal a un mutante determinado, o al revés, tiene su «coeficiente de rayos X», individual, el cual indica el porcentaje de la descendencia que resulta haber mutado de aquella forma determinada, cuando se le ha aplicado una dosis unitaria de rayos X a los padres, antes de engendrar a los descendientes.
3.9. Primera ley. La mutación es un acontecimiento aislado
Las leyes que gobiernan la frecuencia de mutación inducida son extremadamente simples e ilustrativas en extremo. Sigo aquí el informe de N. W. Timofeeff, en Biological Reviews, vol. 9, 1934. Gran parte del mismo hace referencia al brillante trabajo del propio autor. La primera ley dice:
- El aumento es exactamente proporcional a la dosis de rayos, de forma que puede hablarse realmente de un coeficiente de aumento.
Estamos tan acostumbrados a la proporcionalidad simple que corremos el riesgo de menospreciar las consecuencias de largo alcance de esta simple ley. Para captarlas, podemos recordar que el precio de un artículo, por ejemplo, no es siempre proporcional a su valor. En condiciones normales, un tendero puede quedarse tan impresionado por el hecho de que se le hayan comprado seis melones que, al solicitarle una docena, puede que la ofrezca por menos del doble de precio. En tiempos de escasez, puede ocurrir lo contrario. En el caso que nos ocupa, llegamos a la conclusión de que la primera mitad de la dosis provoca, por ejemplo, la mutación de un descendiente de cada 1000, pero no influye en absoluto sobre el resto, ni predisponiéndolos ni inmunizándolos contra la mutación. De no ser así, la segunda mitad de la dosis no provocaría igualmente un mutante de entre mil. La mutación no es, pues, un efecto acumulativo, causado por pequeñas porciones de variación consecutivas que se refuerzan mutuamente. La mutación debe consistir, de hecho, en algún acontecimiento único que se da en un cromosoma durante la irradiación. ¿De qué tipo de acontecimiento se trata?
3.10. Segunda ley. Localización del acontecimiento
Encontraremos la respuesta en la segunda ley, que dice:
- Si variamos la cualidad (longitud de onda) de los rayos dentro de un amplio margen, desde los relativamente débiles rayos X a los rayos γ más fuertes, el coeficiente permanece constante, siempre que se aplique la misma dosis.
O sea, siempre que se mida la dosis, contando la cantidad total de iones producidos por unidad de volumen en una sustancia standard adecuada, en el lugar y durante el tiempo en que se exponen los padres a la radiación.
Como sustancia standard se escoge el aire, no solo por comodidad, sino también porque los tejidos orgánicos están constituidos por elementos del mismo peso atómico, por término medio, que el aire. Un límite inferior para la cantidad de ionizaciones o procesos relacionados[3] (excitaciones) en el tejido se obtiene simplemente multiplicando el número de ionizaciones en el aire por la proporción de las densidades. Es, pues, bastante evidente, y ello queda confirmado por una investigación más rigurosa, que el hecho individual que provoca una mutación es una ionización (o un proceso similar) que tiene lugar en un volumen «crítico» de la célula germinal. ¿Qué tamaño tiene este volumen crítico? Puede estimarse a partir de la frecuencia observada de mutación por una deducción de este tipo: si una dosis de 50 000 iones por cm³ produce solo la probabilidad de 1:1000 de que cualquier gameto particular (que se encuentre en la zona irradiada) mute de una determinada manera podemos concluir que el volumen crítico, el «blanco» que debe ser «alcanzado» por una ionización para que se produzca la mutación, es solo 1/1000 de 1/50 000 de cm³, es decir, una cincuenta millonésima de cm³. Estas cifras no son las verdaderas, las citamos solo a modo de ilustración. En el cálculo real seguiremos a Max Delbrück, N. W. Timofeeff y K. G. Zimmer[4] artículo que será también la principal fuente de la teoría desarrollada en los dos próximos capítulos. Delbrück propone el tamaño de un cubo de solo diez distancias atómicas medias de arista, lo que equivale a un millar de átomos. La interpretación más sencilla de este resultado es que hay una gran probabilidad de producir una mutación cuando una ionización (o excitación) no se produce a más de «10 átomos de distancia» de algún lugar determinado del cromosoma. Lo discutiremos con más detalle a continuación.
El informe de Timofeeff contiene un comentario práctico que no puedo dejar de mencionar, aunque no guarde relación con nuestra investigación. En la vida moderna se presentan muchas ocasiones en las que un ser humano tiene que estar expuesto a los rayos X. Son bien conocidos los peligros directos que esto supone, como por ejemplo quemaduras, cáncer producido por esas radiaciones, esterilización; por ello se recurre a la protección con pantallas de plomo o delantales de plomo, especialmente para enfermeras y médicos que deben manejar los rayos con regularidad. De todas formas, el problema es que, incluso cuando esos peligros inminentes para el individuo se evitan de forma eficaz, parece existir el peligro indirecto de que se produzcan pequeñas mutaciones perjudiciales en las células germinales (mutaciones parecidas a las que citábamos al hablar de los resultados desfavorables de los cruces consanguíneos). Para decirlo con más crudeza, aunque tal vez de forma ingenua, el peligro de un matrimonio entre primos hermanos puede incrementarse por el hecho de que su abuela haya trabajado durante un período suficientemente largo como enfermera de rayos X. No es un problema que tenga que preocupar a nadie personalmente. Pero cualquier posibilidad de estar infectando gradualmente la raza humana con mutaciones latentes, no deseadas, debería ser un tema de preocupación para la comunidad.
♦♦♦♦♦♦♦
[1] Y lo que oscila en apariencia fluctuante, fijadlo con ideas perdurables.
[2] Se ha discutido ampliamente el problema de si la selección natural es ayudada (o incluso reemplazada) por una tendencia clara de las mutaciones a aparecer en una dirección útil o favorable. Mi opinión personal sobre el tema no tiene mayor interés en este lugar, pero es necesario advertir que en todo lo que sigue no se considera nunca la posibilidad de las «mutaciones dirigidas». Además, no puedo entrar aquí en la intervención de los genes «desencadenantes» y «poligenes», por muy importantes que sean en el mecanismo real de la selección y evolución.
[3] Límite inferior, porque estos otros procesos escapan a las mediciones de ionización, pero pueden ser eficaces para producir mutaciones.
[4] En Nachrichten aus der Biologie der Gessellschaft der Wissenschaften (Informes sobre Biología de la Sociedad de Ciencias), Gottingen, vol. 1, p. 189, 1935.

Deja tu opinión